设为首页
加入收藏
首页
学院概况
学院简介
学院领导
机构设置
党建工作
组织机构
理论园地
工作动态
成人高等教育
招生简章
专业介绍
考生问答
非学历教育
培训概况
精品项目
培训动态
自学考试
报考简章
开考专业
常见问题
网络教育
招生简章
专业介绍
考生问答
办事指南
规章制度
联系我们
首页
THIS NAME
通知公告
当前位置:
首页
>> 正文
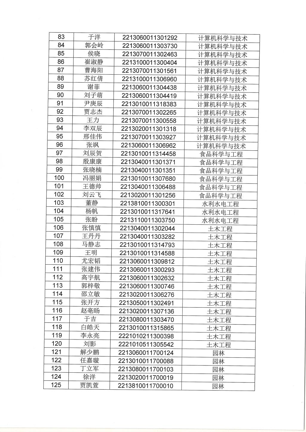
关于对2023级逾期未报到新生按放弃入学资格处理的决定
发布日期:2023年07月05日 11:01 作者: 来源: 点击:
上一条:
关于2023年9月全国计算机等级考试有关事项的通知
下一条:
自学考试实践环节课程网上支付
【
关闭
】
map