欢迎访问理工学院,现在时间:
学校主站
首页
学院概况
学院简介
学院领导
机构设置
学科专业
师资队伍
化工制药系
食品系
环境系
计算机系
水利水电系
工管系
研究生教育
硕士点简介
工作动态
新利体育中国登录平台
本科生教育
学生管理
新利体育中国登录平台
双创活动
科研先锋
科研论文
项目成果
学术活动
审核评估
课程思政
课程思政教学实时动态
课程思政优秀教学案例
课程思政优秀教学设计
课程思政示范课(优质课)
课程思政教学名师(团队)
课程思政优秀学生作品
课程思政品牌项目成果
课程思政优秀论文展示
党建园地
党总支简介
党支部活动
工会活动
当前位置:
首页
·
搜索结果
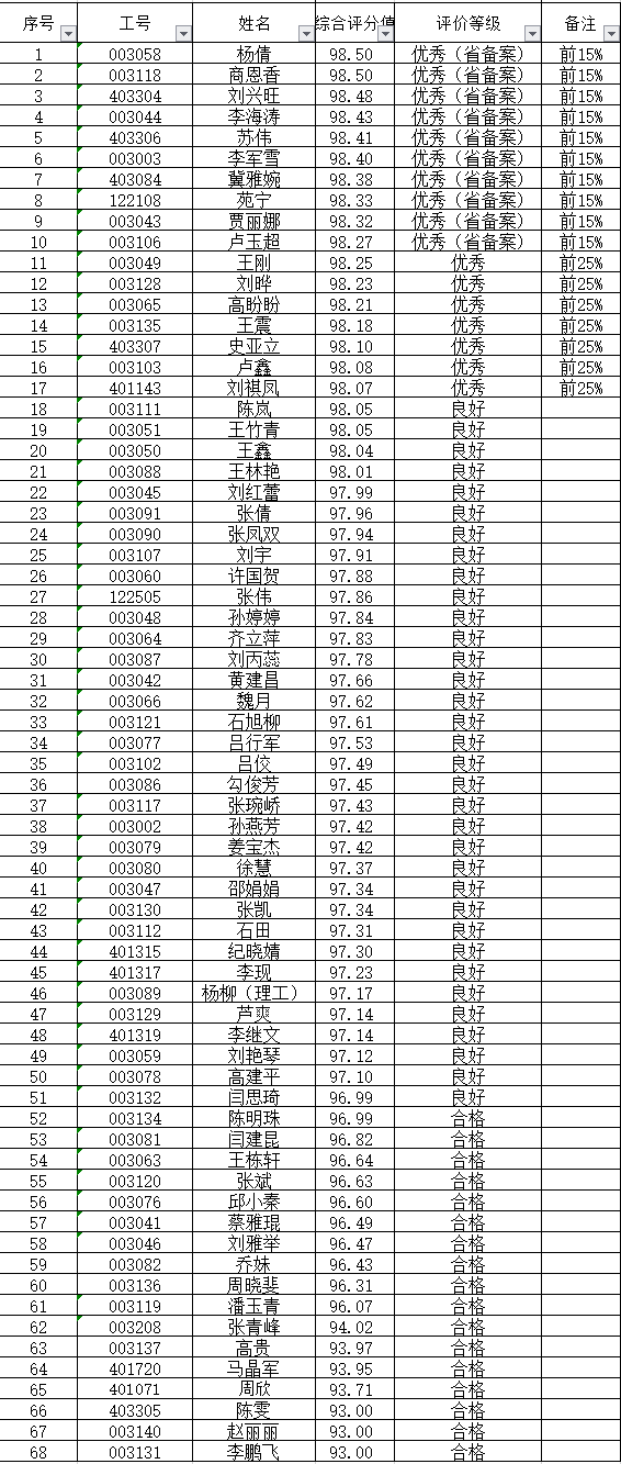
理工系2019-2020学年教师教学质量评价公示表
来源:18luck新利手机版iso 理工系
发布日期:2019/09/23
点击量:
上一条:
理工系2019年度职工考核优秀结果公示
下一条:
理工系2020年接收优秀应届本科推免生流程
Copyright©2019 18luck新利手机版iso 理工系. All rights reserved
map