新闻通知

中心新闻

当前位置:网站首页>>中心新闻>> 正文

程奇教授团队在催化领域Top期刊《ACS Catalysis》发表最新研究成果

发布日期:2022-02-10 作者: 来源: 点击:

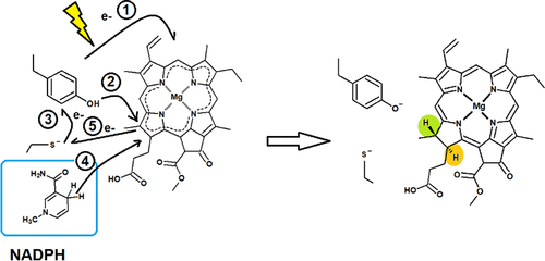
近日,18luck新利手机版iso 程奇教授的国际团队在催化领域TOP期刊《ACS Catalysis》上发表了题为

Analternativeproposal for the reaction mechanism of light-dependent protochlorophyllide oxidoreductase》的研究论文。该团队第一作者是葡萄牙Porto大学的Pedro Silva博士,程奇教授为共同通讯作者。








该文在LPOR蛋白三维晶体结构(2019Nature 574722-725)的基础上,进一步模拟和阐述了Pchlide底物分子与还原酶蛋白LPOR在光驱动下如何快速被催化成光合作用所必需的叶绿素分子的化学机理。简要来讲,该研究通过量子化学计算清楚地发现了一种具有极高的活化能的运转机制,该机制是从关键的Tyr189到基底的激发态电子转移开始的:这一过程显著增加了Tyr189的酸度,从而立即将其质子(通过中间的水分子)转移到基底C18Tyr189处留下的电子空穴由严格保守的Cys222释放的电子填充,来自NADPH的氢化物同时转移,当多余的电子返回Cys222时,反应结束。这一机制似乎与现有的实验数据一致,并将最后的质子化步骤重新解释为质子转移到活性位点本身,目的是使其再生以进行新一轮催化。















程奇博士长期致力于氧化还原酶,特别是生物固氮还原酶复合体(N2ase)的研究,并在国际上首次提出了光驱动固氮酶存在的可能性。该ACS Catalysis论文研究为进一步探索新型固氮酶的设计提供了重要基础。迄今为止,生物固氮局限于原核生物来源的固氮酶,怕氧、怕胺、ATP依赖性较慢、低效等因素造成了生物固氮利用和研究的艰难,希望在不久的将来该研究领域能独辟蹊径,从催化酶学角度摆脱相关局限,发现或设计出高效光驱动的新型固氮酶。


ACS Catalysis2021年影响因子/JCR分区:13.084/Q1是美国化学会的旗舰期刊,主要刊登催化化学领域高水平的研究成果,属于化学学科Top期刊与中科院1区期刊。


研究工作得到了禾骑士研究院(www.heqishi.com)和科技部2019YFA0904701项目支持。



上一条: 生物化学教师指导学生在全国大学生生物化学歌曲大赛中获奖下一条: 我院成功获批1个省级国际科技合作基地

关闭

Baidu
map